Gerak Atmosfer Dalam Arah Horizontal - Atmosfer merupakan lapisan gas yang menyelimuti bumi. Atmosfer bersifat dinamis yang selalu bergerak terhadap permukaan bumi.
Gerak atmosfer terhadap permukaan bumi memiliki dua komponen arah yaitu gerak atmosfer pada arah horizontal dan gerak atmosfer pada arah vertikal.
Dinamika gerak atmosfer ini penting dalam kaitan pembentukan cuaca dan iklim. Hal ini karena hasil gerak atmosfer akan memengaruhi runtutan terbentuknya cuaca dari waktu ke waktu.
Gerak atmosfer terhadap permukaan bumi memiliki dua komponen arah yaitu gerak atmosfer pada arah horizontal dan gerak atmosfer pada arah vertikal.
Dinamika gerak atmosfer ini penting dalam kaitan pembentukan cuaca dan iklim. Hal ini karena hasil gerak atmosfer akan memengaruhi runtutan terbentuknya cuaca dari waktu ke waktu.
Penyebab utama terbentuknya gerak atmosfer baik horizontal maupun vertikal adalah:
- Ketidakseimbangan panas dan momentum antara lintang tinggi dengan lintang rendah dan antara permukaan bumi dan atmosfer.
- Topografi permukaan bumi.
- Distribusi permukaan, darat dan air.
Angin merupakan contoh gerak atmosfer secara horizontal yang dapat kita amati sehari-hari. Angin merupakan gerak nisbi atmosfer terhadap permukaan bumi.
Gerak atmosfer yang lain adalah geraknya yang ikut berotasi bersama-sama dengan bumi. Gerak atmosfer yang bersama mengikuti rotasi bumi ini akan memengaruhi arah angin.
Umumnya gerak atmosfer pada arah horizontal lebih dominan dibanding gerak atmosfer pada arah vertikal. Hal ini terjadi karena gerak atmosfer secara horizontal dapat melingkupi wilayah yang sangat luas, dibanding gerak atmosfer secara vertikal yang hanya beberapa meter atau kilometer saja.
Akan tetapi gerak atmosfer pada arah vertikal justru memengaruhi cuaca lebih signifikan karena diikuti oleh pembentukan awan-awan konvektif.
Gerak atmosfer pada skala horizontal merupakan sumber transport massa udara dari satu tempat ke tempat lain yang tentunya juga membawa uap air sebagai bagian pembentukan awan dan hujan.
![]() |
| Gerak atmosfer pada arah horizontal dan vertikal |
Gaya yang Berperan Pada Gerak Atmosfer secara Horizontal
Gaya yang dominan pada gerak atmosfer secara horizontal adalah gaya gradien tekanan, gaya coriolis dan gaya gesekan.
Keberadaan gaya lain seperti gaya gravitasi pada gerak atmosfer horizontal tidak signifikan karena selalu ditiadakan oleh komponen vertikal daya gaya gradien tekanan.
Gaya sentrifugal akan muncul jika arah lintasan gerak atmosfer berbentuk lingkaran atau lengkungan misalnya terbentuk siklon tropis atau taifun.
Keberadaan gaya lain seperti gaya gravitasi pada gerak atmosfer horizontal tidak signifikan karena selalu ditiadakan oleh komponen vertikal daya gaya gradien tekanan.
Gaya sentrifugal akan muncul jika arah lintasan gerak atmosfer berbentuk lingkaran atau lengkungan misalnya terbentuk siklon tropis atau taifun.
1. Gaya Gradien Tekanan
Terbentuknya gerak atmosfer secara umumnya karena adanya beda tekanan. Massa udara akan bergerak dari tempat tekanan tinggi ke tempat yang tekanannya lebih rendah. Semakin besar gradien tekanan maka semakin cepat gerak atmosfer.
Sebaliknya, semakin kecil beda tekanan maka semakin lemah perpindahan massa udaranya. Analoginya seperti pada gambar di bawah ini.
Sebaliknya, semakin kecil beda tekanan maka semakin lemah perpindahan massa udaranya. Analoginya seperti pada gambar di bawah ini.
![]() |
| Perbandingan kecepatan angin dengan gradien tekanan, lebar panah menggambarkan kecepatan angin yang lebih besar |
H adalah area dengan tekanan yang lebih tinggi dari sekitarnya. Maka akan terjadi aliran gerak atmosfer ke segala arah dar pusat tekanan tinggi ke tekanan rendah.
Panah nomor 1 menggambarkan kecepatan gerak atmosfer yang besar karena gradien tekanan yang sangat rapat.
Panah nomor 3 menggambarkan kecepatan gerak atmosfer yang paling rendah karena gradien tekanan lebih renggang dibanding pada panah nomor 2 dan nomor 1.
Panah nomor 1 menggambarkan kecepatan gerak atmosfer yang besar karena gradien tekanan yang sangat rapat.
Panah nomor 3 menggambarkan kecepatan gerak atmosfer yang paling rendah karena gradien tekanan lebih renggang dibanding pada panah nomor 2 dan nomor 1.
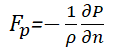
Gaya gradien tekanan merupakan gaya yang terbentuk oleh perpindahan massa udara karena beda tekanan udara dibagi jarak antara dua tekanan. Jika digambarkan sebagai berikut.
![]() |
| Gaya gradien tekanan (FP) |
Umumnya dalam dunia meteorologi satuan tekanan udara dinyatakan dalam milibar di mana 1 milibar =102 Nm-2 . Secara matematis gaya gradien tekanan dirumuskan sebagai berikut :
Di mana masing-masing komponen dalam Satuan Internasional (SI) adalah:
- FP = gaya gradien tekanan (m/s2)
- 𝜌 = massa jenis udara ( 1.29 kg/m3)
- 𝜕𝑃 = beda tekanan antara dua isobar P1 dan P2 (N.m-2)
- 𝜕𝑛 = jarak antara dua isobar (m)
Tanda minus di atas menyatakan bahwa arah gerak atmosfer selalu dari tekanan tingi ke tekanan rendah.
2. Gaya Coriolis
Jika hanya ada gaya gradien tekanan, maka gerak atmosfer berupa perpindahan massa udara akan selalu lurus. Pada kenyataannya gerak atmosfer seperti angin pasat angin selalu mengalami pembelokan.
Pembelokan angin salah satu penyebabnya adalah gaya coriolis. Gaya coriolis adalah gaya fiktif yang muncul karena adanya rotasi bumi.
Pembelokan angin salah satu penyebabnya adalah gaya coriolis. Gaya coriolis adalah gaya fiktif yang muncul karena adanya rotasi bumi.
Gaya coriolis menyebabkan pergerakan angin luruh mengikuti gaya gradien tekanan. Gaya coriolis menyebabkan arah angin di Belahan Bumi Utara (BBU) berbelok ke kanan, dan di Belahan Bumi Selatan (BBS) berbelok ke kiri.
![]() |
| Pembelokan angin oleh gaya coriolis |
Gaya coriolis secara matematis dirumuskan sebagai berikut :
Fc = 2Ω sin ϕ.v
Fc = f.v
Fc = f.v
di mana:
Karena merupakan fungsi dari sinus lintang, maka semakin mendekati ekuator (lintang 0) gaya coriolis akan semakin kecil. Gaya coriolis terbesar ada di kutub karena sinus lintang 90 derajat bernilai 1.
- Fc = Gaya coriolis
- Ω = Kecepatan sudut rotasi bumi (7,29 x 10-5 rad/det)
- ϕ = lintang tempat
- v = kecepatan angin
- f = 2Ω sin ϕ, disebut parameter coriolis.
Karena merupakan fungsi dari sinus lintang, maka semakin mendekati ekuator (lintang 0) gaya coriolis akan semakin kecil. Gaya coriolis terbesar ada di kutub karena sinus lintang 90 derajat bernilai 1.
3. Gaya gesekan
Gaya gesekan atau friksi berpengaruh pada arah dan kecepatan gerak atmosfer. Gesekan terbesar terjadi dekat permukaan bumi karena kenampakkan yang ada di permukaan bumi seperti pegunungan, pohon, bangunan dan lainnya yang dapat menghambat laju massa udara.
![]() |
| Friksi atau gaya gesekan di atmosfer (sumber gambar https://slideplayer.com/slide/9285884/) |
Sifat gaya gesekan terhadap gerak atmosfer sebagai berikut:
- Semakin kasar permukaan bumi maka gaya gesekan terhadap gerak atmosfer semakin besar.
- Semakin ke atas dari permukaan bumi maka efek gesekan pada gerak atmosfer akan semakin kecil. Pada ketinggian di atas 1000 m efek gesekan dapat diabaikan.
- Efek gesekan di atas lautan lebih kecil dibanding di atas daratan karena kekasaran di atas lautan lebih kecil di banding di daratan.
Demikian ulasan tentang hal-hal yang berkaitan dengan gerak atmosfer utamanya pada skala horizontal.
Referensi Gerak Atmosfer Dalam Arah Horizontal bersumber dari:
- Susilo Prawirowadoyo - Meteorologi
- Sri Hartati Soenarmo - Meteorologi Tropis
- Berbagai literatur hasil pencarian dengan google








4 Comments
jadi tahu sekarang, ternyata ada atmosfer yang gerak horizontal dan vertikal...
ReplyDeleteooohh angin ternyata bergerak horizontal ya
Ya begitulah mas hehehe
DeleteArmosfer yang tempatnya tinggi aja gayanya cuma tiga, lah manusia yang asa di bawahnya malah banyakan gaya hehe
ReplyDeleteHehe.. bisa aja nih
DeleteTerima kasih atas komentarnya. Mohon tidak meletakkan link hidup yah.